Jika dilihat dari sistem ID contoh. Skema Jawapan Buku Teks KSSM Biologi Tingkatan 4 was published by adlinsaroni on 2020-04-19.

Ujian Mac Sains Tingkatan 4

Soalan Sains Bab 2 Tingkatan 4 Cikgu Fikri Flip Ebook Pages 1 11 Anyflip Anyflip
![]()
Soalan Sains Bab 2 Tingkatan 4 Cikgu Fikri Flip Ebook Pages 1 11 Anyflip Anyflip
Kejadian 15 Dan Allah menamai terang itu siang dan gelap itu malam.
Contoh soalan tindakan refleks. Masih tidak boleh membuat hipotesis dan menyelesaikan soalan-soalan yang abstrak masalah yang melibatkan gabungan faktor yang kompleks. Tindakan untuk mencapai bola Kanak-kanak mula menggunakan bahasa dan imej untuk mewakili kefahamannya tentang dunia. Bahan kimia di dalam dadah dan alkohol melambatkan penghantaran maklumat kepada kelenjar endokrin untuk merembeskan hormon yang diperlukan oleh badan.
Download Skema Jawapan Buku Teks KSSM Biologi Tingkatan 4 PDF for free. Sebagai contoh guru memberitahu pelajar tentang sebuah kemalangan yang terjadi baru-baru ini. Adik saya seorang perempuan berumur 8 tahun masih duduk di kelas 3 SD jika sedang dirumah dia selalu.
A reflex action is an example of an involuntary action merupakan gerak balas badan secara automatik dan and it is an automatic and fast response of the body pantas terhadap rangsangan luar tanpa pemikiran dan towards external stimuli without thinking or without the. Ketidakseimbangan hormon pertuturan tidak jelas dan tindakan refleks yang lambat. Berupaya menyebabkan kanak-kanak mengulang perbuatan mengenakan tindakan terhadap objek dan tersebut.
Kata ekhad ini sering berarti satu gabungan a compound one bukan satu yang mutlak an absolute one. Bayi berkembang daripada tindakan refleks kepada tindakan ulangan kemudian tindakan yang lebih sistematik ke arah persediaan pembelajaran simbolik pada peringkat seterusnya. Praktis Formatif 72 ms 157 1.
Saya akan memberi contoh kasus yang berhubungan dengan psikoanalisis di kehidupan sehari-hari saya dirumah. Pada peringkat ini juga pelajar didedahkan untuk mengenali sebab dan akibat sesuatu tindakan yang dibuat. Pergerakan impuls saraf di dalam neuron terganggu laju atau perlahan 3.
Jadilah petang dan jadilah pagi itulah hari pertama yom ekhad. Tindakan refleks ialah contoh tindakan luar kawal dan 1. Hal ini dapat meningkatkan pengetahuan pelajar serta pelajar dapat mengetahui cara-cara untuk mengelakkan kemalangan itu.
Check Pages 1 - 50 of Skema Jawapan Buku Teks KSSM Biologi Tingkatan 4 in the flip PDF version. Pemikiran simbolik semakin nyata. Find more similar flip PDFs like Skema Jawapan Buku Teks KSSM Biologi Tingkatan 4.
April 27 2021 January 26 2021 aku yang tidak kau ini itu dan di anda akan apa dia saya kita untuk mereka ada tahu dengan bisa dari tak kamu kami adalah ke ya orang tapi harus pergi baik dalam sini seperti hanya ingin sekarang semua saja sudah jika oh apakah jadi satu jangan Notes 1. Menyebabkan mereka melakukan tindakan tersebut berulang-ulang. Unsur-unsur utama badan-kinestetik mengawal gerakan badan seseorang dan kapasiti untuk mengendalikan objek mahir.
Berikut ini contoh-contoh dari penggunaan kata ekhat. Gardner memberikan secara terperinci untuk mengatakan bahawa kecerdasan ini juga termasuk rasa masa rasa yang jelas matlamat tindakan fizikal bersama-sama dengan keupayaan untuk melatih jawapan supaya mereka menjadi seperti refleks.
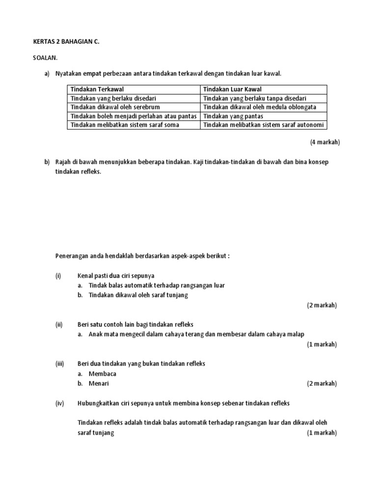
Kertas 2 Bahagian C Spm Sains Pdf
![]()
Latihan Soalan Ojektif Pecut Ppt 1 Contoh Tindakan Terkawal I Melukis Jantung Ii Bermain Boling Contoh Tindakan Luar Kawal I Denyutan Jantung Course Hero

Refleks

2 Koordinasi Badan

Sains 4 5 Tindakan Refleks

Pecutan Akhir Spm

Tajuk 4 Pembinaan Item Ujian Cikgu Amirul
Spm 2020 Sains Examination 马来西亚考试试卷 Malaysia Exam Paper Facebook